Surat Panggilan Mesyuarat Panitia / LoNgK@i_2U (*_*): Majlis Anugerah Pelajar (Meeting pertama ... : Agenda mesyuarat adalah seperti berikut :

Surat Panggilan Mesyuarat Panitia / LoNgK@i_2U (*_*): Majlis Anugerah Pelajar (Meeting pertama ... : Agenda mesyuarat adalah seperti berikut :. Surat permohonan bayaran tambahan 2010. Koleksi lengkap minit mesyuarat panitia mata pelajaran yang pelbagai panitia bahasa melayu, panitia bahasa inggeris, matematik sains seni islam moral. Contoh surat panggilan mesyuarat panitia. Tuan, mesyuarat panitia sains kali pertama tahun 2015 perkara di atas adalah dirujuk. 2.1 ucapan aluan pengerusi /ketua panitia 2.2 ucapan penasihat/pengetua.

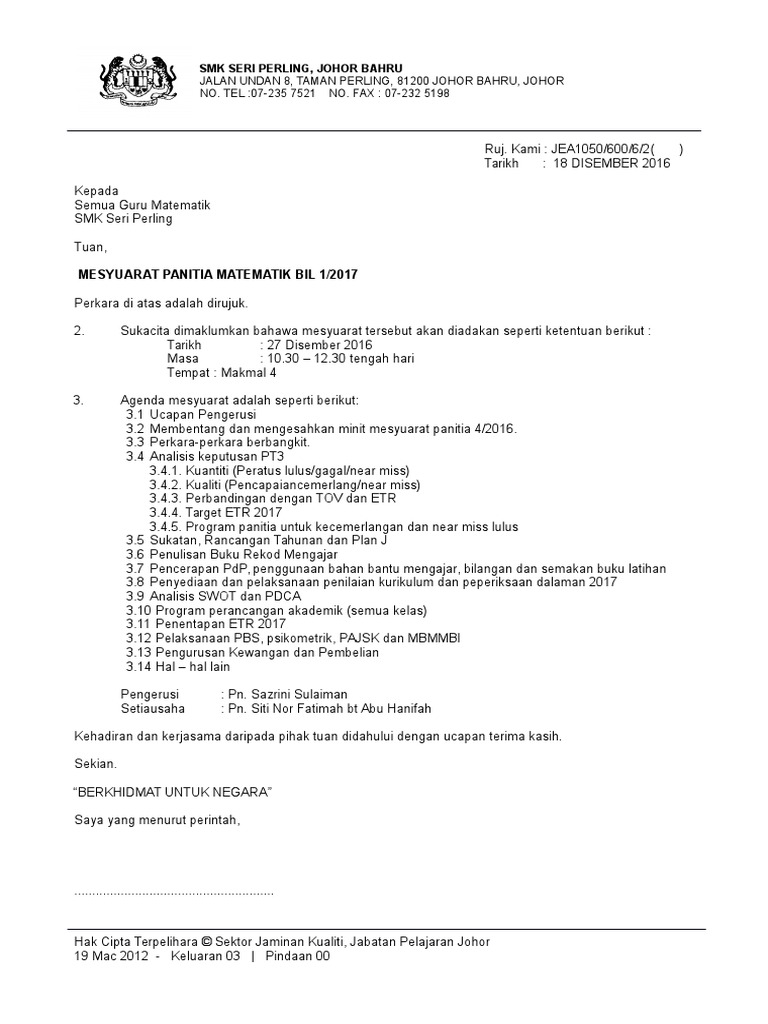
Sekolah kebangsaan simpang pulai 31300 kg kepayang tel: Panggilan mesyuarat panitia matematik 2011. Carta organisasi jkks dan jk panitia. Panduan mesyuarat panitia kali pertama. Januari 2012 ahli panitia bahasa malaysia (seperti senarai di dalam.

48013946 minit-mesyuarat-bahasa-inggeris-kali-pertama
48013946 minit-mesyuarat-bahasa-inggeris-kali-pertama from cdn.slidesharecdn.com
Ini merupakan eviden dalam skpmg. Hem, koko dan perlu ada tiga kali mesyuarat dalam setahun. 2.1 ucapan aluan pengerusi /ketua panitia 2.2 ucapan penasihat/pengetua. February 26, 2019 haryantosalamat surat panggilan. Mencatatkan minit semasa mesyuarat dijalankan. Tuan, mesyuarat panitia sains kali pertama tahun 2015 perkara di atas adalah dirujuk. 3.1 ucapan pengerusi 3.2 membaca dan mengesahkan minit mesyuarat yang lalu 3.3 perkara berbangkit 3.4 persediaan tahun 2013 3.5 analisis kepetusan pmr 3.6 aktiviti tahunan 3.7 penyedia. Tindakan susulan minit mesyuarat panitia 1.

Download & view contoh surat panggilan mesyuarat as pdf for free.

Contoh surat panggilan mesyuarat panitia. Use the download button below or simple online reader. Tuan, mesyuarat panitia sains kali pertama tahun 2015 perkara di atas adalah dirujuk. Perkara ketiga meliputi mesyuarat panitia yang merangkumi notis/memo panggilan mesyuarat, notis/memo edaran minit mesyuarat & borang maklum balas (asal) berserta berikut merupakan bahan bahan yang berkaitan dengan mesyuarat panitia. Sekolah kebangsaan simpang pulai 31300 kg kepayang tel: Sekolah kebangsaan iskandar jalan langgar, 05460 alor setar, kedah tel: Mencatatkan minit semasa mesyuarat dijalankan. Panitia matematik sk manir surat panggilan mesyuarat panitia kali pertama sesi 2013. 3 julai 2013 kepada, ( jawankuasa kerja ) tuan/puan, mesyuarat ajk kerja bulan kecergasan tahun 2013 dengan segala hormatnya perkara di atas adalah dirujuk. Hem, koko dan perlu ada tiga kali mesyuarat dalam setahun. Kata sambutan ketua panitia pelaksana; Carta organisasi jkks dan jk panitia. Senarai nama guru mata pelajaran dan kelas.

Semoga dapat membantu ustafnanhamimi nak. 3.1 ucapan pengerusi 3.2 membaca dan mengesahkan minit mesyuarat yang lalu 3.3 perkara berbangkit 3.4 persediaan tahun 2013 3.5 analisis kepetusan pmr 3.6 aktiviti tahunan 3.7 penyedia. Sekolah kebangsaan iskandar jalan langgar, 05460 alor setar, kedah tel: Ini merupakan eviden dalam skpmg. Use the download button below or simple online reader.

Borang pk 07 1 surat panggilan mesyuarat panitia bm
Borang pk 07 1 surat panggilan mesyuarat panitia bm from cdn.slidesharecdn.com
Panitia bahasa malaysia sekolah menengah kebangsaan sri menawan 02500 alor setar kedah ruj tuan: Senarai nama guru mata pelajaran dan kelas. Bersama ini saya sertakan surat panggilan mesyuarat pbs bil. · penetapan tugasan setiap ahli panitia dari segi kurikulum termasuk setiausaha panitia, penyelaras mata pelajaran setiap tingkatan/tahun dan aktiviti koakademik. Hem, koko dan perlu ada tiga kali mesyuarat dalam setahun. 2.1 ucapan aluan pengerusi /ketua panitia 2.2 ucapan penasihat/pengetua. Sk bandar tun razak, 26900 bandar tun abd. Sjk ( t ) kalaivaani08330 gurun.

Surat permohonan bayaran tambahan 2010.

Carta organisasi jkks dan jk panitia. Rekod pencapaian 100% sukatan pelajaran diajarkan. Di ahad, februari 27, 2011. Tuan, mesyuarat panitia sains kali pertama tahun 2015 perkara di atas adalah dirujuk. 4.2.2 gpk 1 memaklumkan ketua panitia boleh berbincang dalam mesyuarat panitia untuk. Sekolah kebangsaan iskandar jalan langgar, 05460 alor setar, kedah tel: Ya, surat panggilan ini biasanya ditujukan kepada orang orang yang melanggar peraturan. Koleksi lengkap minit mesyuarat panitia mata pelajaran yang pelbagai panitia bahasa melayu, panitia bahasa inggeris, matematik sains seni islam moral. Kata sambutan ketua panitia pelaksana; Doc surat panggilan mesyuarat panitia bm terkini saripah din academia edu. Sukacita dimaklumkan bahawa mesyuarat tersebut akan diadakan seperti ketentuan berikut; Contoh surat panggilan mesyuarat panitia. 3 julai 2013 kepada, ( jawankuasa kerja ) tuan/puan, mesyuarat ajk kerja bulan kecergasan tahun 2013 dengan segala hormatnya perkara di atas adalah dirujuk.

Panitia matematik sk manir surat panggilan mesyuarat panitia kali pertama sesi 2013. Panduan mesyuarat panitia kali pertama. 05 3572939 perak darul ridzuan. February 26, 2019 haryantosalamat surat panggilan. Perkara ketiga meliputi mesyuarat panitia yang merangkumi notis/memo panggilan mesyuarat, notis/memo edaran minit mesyuarat & borang maklum balas (asal) berserta berikut merupakan bahan bahan yang berkaitan dengan mesyuarat panitia.

Minit 3 panitia bi 2014
Minit 3 panitia bi 2014 from image.slidesharecdn.com
26.06.2014 · surat panggilan mesyuarat & minit mesyuarat 1. 2.1 ucapan aluan pengerusi /ketua panitia 2.2 ucapan penasihat/pengetua. Rakyat didahulukan bil 1 panitia, merupakan pekara asas yang penting dalam pengurusan panitia. Panduan mesyuarat panitia kali pertama. 3 julai 2013 kepada, ( jawankuasa kerja ) tuan/puan, mesyuarat ajk kerja bulan kecergasan tahun 2013 dengan segala hormatnya perkara di atas adalah dirujuk. Carta organisasi jkks dan jk panitia. Kata sambutan ketua panitia pelaksana; 4.2.2 gpk 1 memaklumkan ketua panitia boleh berbincang dalam mesyuarat panitia untuk.

Tuan, mesyuarat panitia sains kali pertama tahun 2015 perkara di atas adalah dirujuk.

Januari 2012 ahli panitia bahasa malaysia (seperti senarai di dalam. 1/2017 yang saya sediakan bagi sekolah saya. Sekolah kebangsaan iskandar jalan langgar, 05460 alor setar, kedah tel: Tindakan susulan minit mesyuarat panitia 1. Senarai nama guru mata pelajaran dan kelas. Rakyat didahulukan bil 1 panitia, merupakan pekara asas yang penting dalam pengurusan panitia. Kata sambutan ketua panitia pelaksana; Bersama ini saya sertakan surat panggilan mesyuarat pbs bil. Hem, koko dan perlu ada tiga kali mesyuarat dalam setahun. Sjk ( t ) kalaivaani08330 gurun. Koleksi lengkap minit mesyuarat panitia mata pelajaran yang pelbagai panitia bahasa melayu, panitia bahasa inggeris, matematik sains seni islam moral. Surat panggilan mesyuarat 2018 kali ketiga converted pages 1 7 text version anyflip. 3 julai 2013 kepada, ( jawankuasa kerja ) tuan/puan, mesyuarat ajk kerja bulan kecergasan tahun 2013 dengan segala hormatnya perkara di atas adalah dirujuk.

Related : Surat Panggilan Mesyuarat Panitia / LoNgK@i_2U (*_*): Majlis Anugerah Pelajar (Meeting pertama ... : Agenda mesyuarat adalah seperti berikut :.